Una vez definidos los diferentes tipos de guías para ascensores hidráulicos, explicaremos cómo realizar su cálculo.

La résistance des guides doit être suffisante pour résister aux charges auxquelles ils sont soumis, garantissant ainsi la sécurité de l'ascenseur et de ses passagers .

Les aspects à considérer pour le bon fonctionnement des guides sont :

a) Un guidage correct de la cabine et de la masse d'équilibrage doit être assuré.

b) Les déformations doivent être limitées pour garantir les enjeux suivants :

  • Un déverrouillage involontaire des portes ne doit pas se produire.
  • Cela ne doit pas affecter le fonctionnement des dispositifs de sécurité.
  • Il ne doit pas être possible qu'une des pièces mobiles entre en collision avec d'autres.

Pour calculer les guides, différentes hypothèses de charges doivent être prises en compte :

  • Hypothèse 1 : Fonctionnement normal

La cabine est considérée comme étant entièrement chargée, c'est-à-dire avec le poids maximum pouvant fonctionner.

  • Hypothèse 2 : Chargement et déchargement en cabine

On prend en compte le poids d'une personne située sur la marche de la cabine, l'endroit le plus éloigné du centre de masse de la cabine, et qui provoque donc un moment de flexion plus important.

  • Hypothèse 3 : Action d'un dispositif de sécurité

On vérifie que les guides peuvent supporter les charges produites par l'action d'un dispositif de sécurité qui arrête la cabine, produisant une forte décélération. Par exemple, la valve parachute ou le système de cale du châssis.

Les guides doivent être dimensionnés en tenant compte des efforts de flexion et de flambage des différentes hypothèses décrites ci-dessus. Pour calculer les forces de flexion, nous supposerons que :

  • Les guides sont une poutre continue avec des points de fixation flexibles espacés de 1.
  • La résultante des contraintes qui provoquent des contraintes de flexion agit au milieu de deux fixations adjacentes.
  • Le moment de flexion agit dans l'axe neutre du profilé de guidage.

 

Calcul de flambage

Légende:
Fk est la force de flambement, en N
σk est la contrainte de flambage, en Newton par millimètre carré
k1, k3 sont les facteurs d'impact correspondants
gn est l'accélération de la gravité (9,81 m/s2)
P est la masse de la cabine vide, en kilogrammes
Q est la charge nominale, en kilogrammes
n est le nombre de guides
A est la section résistante du guide, en millimètres carrés
ω est la valeur de l'oméga, faisant référence à l'élancement du guide

 

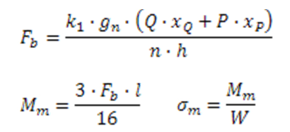
Calcul de flexion

Légende:
k1 est le facteur d'impact correspondant
gn est l'accélération de la gravité (9,81 m/s2)
P est la masse de la cabine vide, en kilogrammes
Q est la charge nominale, en kilogrammes
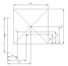
xQ / yq est la distance de la masse de la cabine (P) aux guides
xp / y q est la distance de la charge nominale (Q) aux guides
n est le nombre de guides
h est la distance entre les guides de cabine
Fb est la force appliquée aux guides, en newtons
l est la distance maximale entre les fixations des guides, en millimètres
Mm est le moment de flexion, en newtons millimètre
Wy est le moment résistant de la section transversale, en millimètres carrés
σy est la contrainte de flexion, en newtons par millimètre carré

 

Les forces de flexion doivent être calculées à la fois sur l'axe des abscisses et sur l'axe des ordonnées afin d'effectuer un calcul adéquat. Ensuite, la combinaison des forces doit être effectuée conformément à la norme EN 81.2, et vérifier que celles-ci ne dépassent pas la tension admissible du matériau de guidage.

De cette manière, les guides qui permettent le mouvement de la cabine assurent la sécurité dans toute situation pouvant survenir lors du fonctionnement d'un ascenseur.

Pour plus d'informations concernant le calcul des guides, voir le règlement EN 81.2

 

Article connexe : Types de guides pour ascenseurs hydrauliques

En rapport
Catégories

Un commentaire

Laisser une réponse

Votre adresse email ne sera pas publiée. Les champs obligatoires sont marqués d'un *